炒股就看金麒麟分析师研报,权威,专业,及时,全面,助您挖掘潜力主题机会!
何为浮息债?根据付息方式的不同,债券主要可分为零息债券、贴现债券、固息债券、浮息债券、利随本清债券。浮息债券是发行时规定债券利率随某个基准市场利率定期浮动的债券,是由有固定中长期资金需要的主体发行的一般融资工具。浮息债挂钩的基准利率较为多元,基准利率包括LPR,DR007和SHIBOR和一年定期存款利率,当前我国浮息债以挂钩DR007和LPR为主。
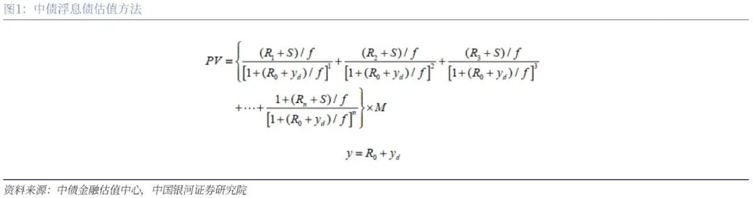
浮息债估值方法。相比固息债,浮息债估值更为复杂。关于如何进行浮息债券估值,基本思想是采用现金流折现的方法。根据中债金融估值中心的处理方法解决案例如下。对于这里以估价全价给出,相应的估价净公式减去对应的应计利息即可。对不处于最后付息周期的附息式浮动利率债券,以不含本金分期兑付、选择权等特殊情况,且付息周期规则的债券起息日估值为例。
浮息债发展情况。我国浮息债起源较早,但由于其占比较低,受市场关注较少,因此在我国债券市场仍属相对小众品种。我国浮息债市场起始于1995年,共出现三次发行规模增长的时期,分别为1995-2000年、2002-2011年、2014-2021年,期间基准利率类型不断丰富;2022-2024年期间,由于市场利率处于较低水平,浮息债的需求减少,发行规模呈下降态势。
浮息债市场现状。当前我国浮息债市场以挂钩DR007和1年期LPR的政策性金融债为主,合计约3890亿元,占市场总规模的78%。截至2025年6月,我国浮息债市场存量规模为4959亿元,约占债券市场总规模的0.3%左右。而政策性金融债为我国浮息债市场最大品种,合计约3890亿元,占全市场浮息债规模的78%,其参考利率主要以DR007和1年期LPR为主,存量规模分别为1930亿元和1570亿元;其他规模较大的品种为资产支持债券,合计约715亿元,占全市场浮息债规模的14%。
浮息债发行带来的积极影响。发展浮息债券市场,不仅符合国家关于“加快多层次债券市场发展”的要求,也进一步丰富了债券市场的工具、增强债券市场的纵深。对于发行端来说,在降息周期下,浮动利率债券特别是信用债的发行有利于降低发行人融资成本,规避利率风险。对于投资者而言,相较固息债,持有浮息债利率波动风险也较低。
风险提示:经济基本面超预期回升影响债市主线风险、国内政策超预期的风险、统计存在误差的风险。
正文
一、何为浮息债?
浮动利率债券是指债券利率随市场变化定期浮动的债券,也称浮息债(利率 = 基准利率+ 固定利差)。我国的浮动利率债券从上世纪90年代开始发展,但截至目前仍是小众品种(截至2025年6月,浮息债存续规模约4959亿,占国内债券市场存量规模比重为0.3%)。2025年5月以来,国开行2年期DR“固息债+浮息债”科创债、建设银行3年期DR“固息债+浮息债”绿色金融债等发行加快,引发浮息债热议。本文对于浮息债的特征、估值方法、当前的市场现状和未来影响进行展开分析。
(一)浮息债定义
1.根据付息方式划分
根据付息方式的不同,债券主要可分为零息债券、贴现债券、固息债券、浮息债券、利随本清债券。浮息债券是发行时规定债券利率随某个基准市场利率定期浮动的债券,是由有固定中长期资金需要的主体发行的一般融资工具。
浮息债以面值、略高于或略低于面值的价格发行,票面利率为“基准利率+固定利差”,基准利率一般与某个市场利率挂钩(如LIBOR、定期存款利率、LPR等),在每个计息期初时进行调整,而固定利差则在发行时确定,存续期内保持不变。债券期限指浮息债从发行至偿还本金的年限,整体上发行期限偏中长期,以5-10年期居多。浮息债券往往以单利计息,付息频率分为每1、3、6、12个月付息一次。
2.浮息债与固息债的区别
从定义出发来看,浮息债与固息债的区别在于利息会定期调整。固息债在发行时确定一个固定的利率,这个利率在整个债券的存续期内不变。浮息债具备利率调整机制。相较于固息债,浮息债在利率调整的环境下,其票息挂钩基准利率的特性使其在不同利率环境下能够调整发行人的融资成本,具有较好的吸引力。这种灵活性为发行人提供了更多选择,有助于降低融资风险,提高债务管理的效率。
浮息债利率风险较固息债更低,其修正久期更低。对比存量浮息债与固息债的平均修正久期分布情况可以知道在不同剩余期限下,浮息债的修正久期均低于固息债,剩余期限越短,二者之间的差异相对越大,反映出浮息债估值对于利率的变动更不敏感,估值更为稳定。
3.浮息债锚定的主要基准利率
浮息债挂钩的基准利率较为多元,基准利率包括LPR、DR007、SHIBOR和一年定期存款利率,当前我国浮息债以挂钩DR007和LPR为主。境内第一只浮息债由中国进出口银行于1995年在全国银行间市场发行,期限为5年,利率按年浮动,标志着境内浮息债市场正式起步。随着利率市场化进程推进,浮息债市场稳步发展,基准利率类型不断丰富。逐步发展为LPR,DR007,SHIBOR以及中长期贷款利率并存的存量浮息债市场。LPR作为基准利率实现贷款和债券市场挂钩,存续规模占浮息债总规模35%。LPR是贷款市场报价利率,旨在更好地反映市场资金成本的变化,提高利率传导效率。随着我国央行推进LPR定价机制改革,要求银行对外报价逐步过渡到以LPR为基准,并且LPR报价挂钩公开市场操作利率,以LPR基准定价的国开浮息债也迎来高速发展期。
(二)浮息债估值方法
一般情况下,浮息债每一期的票面利率会在债券发行时点或最近一个派息日确定。因此,在每日的估值工作当中,我们仅可知悉最近一期的浮息债票面利率,而无法准确的对未来现金流进行贴现。对于具有不确定性的票息,市场习惯于使用基准利率现值的加减点,即站在当下计算出的“未来票面利率”,作为未来现金流的近似,从而完成每日估值。
从中债口径的浮息债估值公式来看,该类债券每日的价格波动主要由当下时刻的基准利率与点差收益率共同决定。其中,浮息债的当期基准利率R1及债券招标利率S(即基础利率上的加减点数),分别于上一付息日及债市招标期间确定,对于每日估值而言,这部分属于确定性常数。而公式分子端的当下时刻基准利率 R0,以及分母端的“当下时刻基准利率加点差收益率”(R0+yd),则是受市场影响显著的动态变量。
相比固息债,浮息债估值更为复杂。浮息债券估值的基本思想是采用现金流折现法。根据中债金融估值中心的处理方法解决案例如下。对于这里以估价全价给出,相应的估价净公式减去对应的应计利息即可。对不处于最后付息周期的附息式浮动利率债券,以不含本金分期兑付、选择权等特殊情况,且付息周期规则的债券起息日估值为例。
其中R0 :计算日对应的基准利率,R1:债券当期基准利率,R2, R3, …, Rn :未来各付息周期的基准利率,若相应基准利率尚未确定,则假设相应基准利率与计算日对应的基准利率相等;S :债券发行时确定的利差;yd :债券点差收益率;f :债券年付息次数;y :债券估价收益率;M :债券本金值;n :剩余付息次数。
(三)海外浮息债市场概览
考虑到海外浮息债发展较国内更快、品种丰富,市场成熟度也较高,我们也针对性梳理海外市场特征。
浮息债券最初产生并发展于20世纪70年代的欧洲,是当时市场利率波动剧烈的产物。海外浮息债市场占比、规模更大,具体包括以下品种:
美国通胀保值债券(TIPS)是通过本金调整实现价格浮动的债券品种,在通胀上行期间TIPS市场需求增多。由美国财政部发行并与CPI挂钩的TIPS,首次发行于1997年。其独特的条款设计包括固定票息率与浮动本金机制。鉴于TIPS具备通胀保值功能,当CPI同比增速显著上升时,投资者对其青睐程度往往高于普通美国国债。比如2025年6月,中东局势紧张引发油价飙升,市场通胀预期骤升。美国财政部续发230亿美元五年期TIPS,投标倍数达2.53倍(创2024年4月以来新高),显示地缘风险推高能源价格引发通胀预期升温背景下,TIPS作为抗通胀资产具备较强吸引力。
美国浮动利率国债(FRN),其票息由基准利率和息差加总得到,与美国国库券利率挂钩。以美国财政部 2014 年首次推出的FRN债券为例,其以 13 周国库券拍卖利率为基准,每周更新利率并按季付息,最长存续期 2 年,最低投资金额 100 美元,利息收入需缴纳联邦税。这种设计既帮助投资者对冲利率波动风险,也为发行人提供了市场化的融资工具。
中国香港银色债券、iBond等是香港政府发行的基于港政府惠民利民的针对性设计品种。银色债券是面向银发群体的普惠金融投资工具,其命名源自“银发族”养老理财需求。香港特别行政区政府自 2016—2017 财政年度起推出该债券,针对 60 岁以上居民,至今已发行 8 个批次,市场认购热度持续高企。iBond 是香港特区政府通过政府债券计划发行的零售类通胀挂钩债券,是抗通胀的有利工具。具备政府背书,定期派息机制提供稳定现金流、相比同期港元定存利率更具吸引力是这类债券的显著优势。
二、我国浮息债发展阶段及现状
(一)浮息债发展阶段
我国浮息债起源较早,但由于其占比较低,受市场关注较少,因此在我国债券市场仍属相对小众品种。我国浮息债市场起始于1995年,共出现三次发行规模增长的时期,分别为1995-2000年、2002-2011年、2014-2021年,期间基准利率类型不断丰富;2022-2024年期间,由于市场利率处于较低水平,浮息债的需求减少,发行规模呈下降态势。
由于我国债券市场的扩容与浮息债发行规模的下降,浮息债市场发行占比逐年下滑,2022年至2025年6月间,年度均值仅为0.25%。发行方面,2011年至2021年间,我国浮息债的年度发行规模占当年债券发行规模的平均值为2.25%,2022年至2025年6月,随着我国债券市场的扩容与浮息债发行规模的下降,发行占比加速下降,年度均值为仅为0.25%。
浮息债挂钩基准利率情况:基准利率逐渐多元化,最近两年新发浮息债基准利率以DR007和1Y LPR为主。浮息债的基准利率体系随市场发展不断演进,当前主要包括LPR、DR007、SHIBOR及一年定期存款利率,挂钩基准也经历了四个阶段的变化。阶段一:2007年前,国内浮息债主要以一年定期存款利率为基准;阶段二:2007年SHIBOR正式推出并成为各类金融产品定价基准;阶段三:2019年我国推进LPR改革,推动存贷款利率与市场利率“两轨合一轨”,部分浮息债开始挂钩LPR;阶段四:最近两年以来,新发浮息债基准利率以DR007和1Y LPR为主。
(二)浮息债市场现状
当前我国浮息债市场以挂钩DR007和1年期LPR的政策性金融债为主,合计约3890亿元,占市场总规模的78%。截至2025年6月,我国浮息债市场存量规模为4959亿元,约占债券市场总规模的0.3%左右。而政策性金融债为我国浮息债市场最大品种,合计约3890亿元,占全市场浮息债规模的78%,其参考利率主要以DR007和1年期LPR为主,存量规模分别为1930亿元和1570亿元;其他规模较大的品种为资产支持债券,合计约715亿元,占全市场浮息债规模的14%。
期限方面,我国浮息债剩余期限分布主要集中1-3年,合计约3046亿元,占浮息债全市场规模的61%。我国存量浮息债主要以短期限为主,其中1年期以下和1-3年期的存量规模分别为1050亿元和3046亿元,分别占浮息债市场规模的21%和61%,整体符合市场对中短期融资工具的偏好;而剩余期限在7年以上的中长期债券仅占市场规模的7%,其中以资产支持债券为主,占中长期浮息债规模的57%。
三、浮息债发行带来的积极影响
发展浮息债券市场,不仅符合国家关于“加快多层次债券市场发展”的要求,也进一步丰富了债券市场的工具、增强债券市场的纵深。此外,浮息债对于发行主体及投资者均有显著积极影响。对于发行方来说,在降息周期下,浮动利率债券特别是信用债的发行有利于降低发行人融资成本,规避利率风险。对于投资者而言,相较固息债,持有浮息债利率波动风险也较低。
1.降低发行方融资成本。
浮息债可以帮助发行人降低融资成本。由于有不同的基准利率,浮息债可与不同的基准利率动态联动,发行方融资方案较为灵活,能够有效减轻发行人在利率变动环境中的融资成本压力,对冲利率风险。同时,浮息信用债还有助于拓宽中小企业融资渠道,此外对信用评级较低的企业,浮息结构可降低投资者要求的风险溢价。
2.丰富投资者对冲利率上行风险的工具箱。
浮息债是投资者对冲利率上行风险的有效工具,具备防御属性。在利率上升时期,债券价格下跌,但浮息债票息会随市场利率上行而提高,缓冲债券价格下跌压力,是较好的防御类投资券种。
3.促进普惠金融。
借鉴中国香港地区市场经验,浮息零售债券是促进普惠金融的重要抓手。比如把从投资者筹集的资金,专门用于资助对环境产生积极影响的项目,例如可再生能源和绿色建筑的绿色债券,可以拉动投资者贡献和分享可持续发展带来的成果。再比如香港政府专为 60 岁及以上香港长者设计的银色债券,通胀挂钩又兼具收益保障性与流动性灵活性,为老年人提供抵御通胀的工具,同时激活银发市场潜力。以上案例都是促进普惠金融的重要实现路径。
四、风险提示
经济基本面超预期回升影响债市主线风险、国内政策超预期的风险、统计存在误差的风险。
相关报告
///固收专题///2025/6/22 外部风浪未平,内部蓄势待破,震荡中寻机-2025年固收中期策略
2025/5/19 REITs估值详解与板块展望—REITs专题系列二
2025/5/9 行业中资美元债收益率模型的构建、实证与场景推演
2025/5/8 规模整体回升,高波策略占优—“固收+”基金2025年一季报分析
2025/4/25 债市熊平,久期打底,信用适度下沉策略绩优
2025/4/11 地方债市场全景梳理与市场前瞻
2025/4/9 国债期货赋能固收类产品效果几何?
2025/2/21 详解中资美元债——高收益债系列一
2025/2/6 “固收+”基金规模微缩,转债基金表现突出 ——“固收+”基金四季报持仓分析
2025/2/6 债市牛平,久期策略仍占优—2024Q4债券基金季报分析
2025/2/2 如何看待本轮货币政策框架改革进程?
2025/1/10 详解REITs分析框架—REITs专题系列一
2024/11/5 固收+”基金规模再回落,高波产品表现亮眼——“固收+”基金三季报持仓分析
2024/10/31债基规模回落,久期策略仍占优——Q3债券基金季报分析
2024/10/29权益市场修复,改良双低策略重新占优——转债量化类策略更新
2024/10/16权益普涨行情下,改良双低策略重新占优——转债量化类策略更新
2024/8/6 TLAC非资本债券发行,提升我国金融系统稳健性
2024/7/30 三中全会延续化债要求,债市短期或有震荡
2024/7/30 “固收+”基金规模增长转正,低波、中低价风格占优——二季报持仓分析
2024/7/26二季度债基规模继续扩大,久期策略相对绩优——Q2债券基金季报分析
2024/6/282024年中期策略:把握定力,顺势而为——经济展望篇
2024/6/28 2024年中期策略:行情中继,静待时机——策略篇
2024/6/27 资产荒驱动下的债牛通道—固收专题报告
2024/6/6 转债防守类策略梳理与优化
]article_adlist-->///固收利率周报///2025/6/29 周报 | 资金面回稳后收益率或再回落
2025/6/22 周报 | 震荡中寻机
2025/6/15 周报 | 关注税期央行对资金面呵护程度
2025/6/8 周报 | 资金面无虞下做多胜率再提升
2025/6/1 周报 | 短期仍以震荡为主,关注后续特朗普关税问题进展
2025/5/25 周报 | 关注超长端供给压制会否持续
2025/5/18 周报 | 短期或受税期及供给扰动,关注交易机会
2025/5/12 周报 | 债市短期震荡磨底,关注曲线走陡机会
2025/5/4 周报 | 债市短期震荡,关注出口数据及供给变化
2025/4/27 周报 | 债市震荡为主,关注超长债配置价值
]article_adlist-->///固收策略系列报告///2025/6/26 转债策略更新 | 评级期叠加权益市场调整,高波策略收益回吐
2025/6/11 转债策略更新 | 高波策略年内累计涨幅超27%
2025/5/29 转债策略更新 | 权益市场下跌,改良双低重新占优
2025/5/14 转债策略更新 | 风险偏好回升,高波策略年内涨超20%
2025/4/27转债策略更新丨偏权市场止跌回升,中波策略重新占优
2025/4/11转债策略更新丨关税政策升级,低波策略重新占优
2025/3/27 转债策略更新丨权益市场高位调整,高波策略持续占优
2025/3/14 转债策略更新丨权益市场持续走牛,高波策略年内超额16%
2025/2/27 转债策略更新丨权益市场持续上涨,高价高弹性策略延续占优
2024/2/16 转债策略更新 | 权益市场上涨,高价高弹性策略占优
2025/1/22 转债策略更新|权益市场回暖,改良双低策略重新占优
2025/1/12 转债策略更新|权益市场持续调整,低价增强策略占优
2024/12/26 转债策略更新|权益市场回调,低价增强策略重新占优
2024/12/11 转债策略更新丨权益市场回升,改良双低策略年内超额9%
2024/11/26 改良双低策略持续占优,年内超额近8%—转债量化类策略更新
2024/11/12 低价风格修复,年内三类策略累计超额3%-7%—转债量化类策略更新
2024/8/1 久期策略如何在当前场景进行应用?—固收策略系列专题报告之二
2024/2/27 债市骑乘策略的逻辑与应用—固收策略系列专题报告之一
]article_adlist-->///固收月报///2025/5/7 转债月报 | 业绩为底,超跌标的与条款机会为矛—5月转债策略展望
2025/4/29利率月报丨供给高峰将至,把握超调机会—5月利率展望
2025/3/31 转债月报 | 稳健防御下的类红利转债替代—4月转债策略展望
2025/3/30利率月报丨震荡格局下逢高增配—4月利率展望
2025/3/6转债月报丨转债阶段性防御,如何配置?—2月复盘兼3月策略展望
2025/3/4利率月报丨配置性价比已现,把握两会关键窗口—3月利率展望
2025/2/10转债月报 | 转债市场又迎关键配置时点 —1月复盘兼2月策略展望
2025/2/3 利率月报丨节后资金面或转松,关注配置机会—1月债市回顾及2月展望
2025/1/6 转债月报丨开年转债怎么配——12月复盘兼1月策略展望
2025/1/5 利率月报丨债市顺势而为,平衡收益与风险
2024/12/4 利率月报丨等待大会政策定调,跨年行情抢跑下,债市需有份审慎
2024/12/4 转债月报丨转债估值回升,关注政策拉动
2024/11/13 上行斜率走缓,把握政策主线—10月可转债复盘兼11月展望
2024/11/5 等待财政增量靴子落地,关注配置机会—10月债市回顾及11月展望
2024/10/9 大涨之后,转债怎么配?—9月可转债复盘兼10月展望
2024/10/4 预期扭转,反弹或反转需关注政策落地情况—9月债市回顾及10月展望
2024/9/6 从确定性出发,把握业绩改善优质标的——8月可转债市场复盘兼9月展望
2024/9/4 债市维持震荡格局,等待货币宽松落地破局——8月债市回顾及9月展望
2024/8/7 央行操作、资金面潜在扰动加剧,建议谨慎操作—7月债市回顾及8月展望
2024/7/2 利率再回前低,关注资金面与关键会议表态—6月债市回顾及7月展望
2024/6/7 多空力量均衡,或有降准博弈—5月债市回顾及6月展望
2024/5/6 供给高峰或至,关注央行点名长债风险的长尾影响—4月回顾及5月展望
]article_adlist-->///固收简评///2025/5/23 点评 | 科创债发行放量显著,有哪些变化?
2025/5/8 点评 | 止盈情绪加剧,债市不空
2025/4/25 点评 | 债市影响偏中性—4月政治局会议点评
2025/3/11 点评丨政策聚焦下,科创债有望加速发展
2025/3/5 点评丨2025年政府工作报告解读
2024/12/13 大会延续积极表态,债市谨慎参与——12月中央经济工作会议点评
2024/12/10 表态“积极有为”,短期或有股债双牛—12月政治局会议点评
2024/11/19 大涨过后,如何看待转债强赎——可转债点评
2024/11/7 “特朗普交易”下,国内债市影响几何?—2024年美国大选点评
2024/9/30 外资持续流入,规模占比上升,或成为债市潜在定价要素—境外机构增持人民币债券简评
2024/9/26 会议时点和力度超预期,债市利空扰动增多—9月政治局会议简评
2024/9/24 低价大市值策略相对占优——转债量化类策略绩效及持仓更新
2024/9/24 央行重磅组合拳的背后与眼前—9月降准降息点评
2024/9/24 国内降息可期,债市顺风—9月美联储降息及9月OMO和LPR利率未调降点评
2024/9/5 转债市场低位反弹,三类策略均有超额 ——转债量化类策略绩效及持仓更新
2024/8/28 如何看待转债跌破面值个数持续增多 ——可转债点评
2024/8/22 改良双低策略逐步占优 ——转债量化类策略绩效及持仓更新
2024/7/26 央行操作数箭并发,意义几何?—央行降息简评
2024/5/14 供给压力缓释,资产荒逻辑再回归—特别国债发行计划简评
2024/4/30 中央政治局会议的五个要点—2024年4月政治局会议简评
]article_adlist-->本文摘自:中国银河证券2025年7月2日发布的研究报告《【中国银河固收】浮息债现状、挑战与机遇》
分析师:刘雅坤
研究助理:张岩东
评级标准:
评级标准为报告发布日后的6到12个月行业指数(或公司股价)相对市场表现,其中:A股市场以沪深300指数为基准,新三板市场以三板成指(针对协议转让标的)或三板做市指数(针对做市转让标的)为基准,北交所市场以北证50指数为基准,香港市场以恒生指数为基准。行业评级
]article_adlist-->推荐:相对基准指数涨幅10%以上。
中性:相对基准指数涨幅在-5%~10%之间。
回避:相对基准指数跌幅5%以上。
公司评级 ]article_adlist-->推荐:相对基准指数涨幅20%以上。
谨慎推荐:相对基准指数涨幅在5%~20%之间。
中性:相对基准指数涨幅在-5%~5%之间。
回避:相对基准指数跌幅5%以上。
法律申明:本公众订阅号为中国银河证券股份有限公司(以下简称“银河证券”)研究院依法设立、运营的研究官方订阅号(“中国银河证券研究”“中国银河宏观”“中国银河策略”“中国银河总量”“中国银河科技”“中国银河先进制造”“中国银河消费”“中国银河能源周期”“中国银河证券新发展研究院”)。其他机构或个人在微信平台以中国银河证券股份有限公司研究院名义注册的,或含有“银河研究”,或含有与银河研究品牌名称等相关信息的其他订阅号均不是银河研究官方订阅号。
本订阅号不是银河证券研究报告的发布平台,本订阅号所载内容均来自于银河证券研究院已正式发布的研究报告,本订阅号所摘录的研究报告内容经相关流程及微信信息发布审核等环节后在本订阅号内转载,本订阅号不承诺在第一时间转载相关内容,如需了解详细、完整的证券研究信息,请参见银河证券研究院发布的完整报告,任何研究观点以银河证券发布的完整报告为准。
本订阅号旨在交流证券研究经验。本订阅号所载的全部内容只提供给订阅人做参考之用,订阅人须自行确认自己具备理解证券研究报告的专业能力,保持自身的独立判断,不应认为本订阅号的内容可以取代自己的独立判断。在任何情况下本订阅号并不构成对订阅人的投资建议,并非作为买卖、认购证券或其它金融工具的邀请或保证,银河证券不对任何人因使用本订阅号发布的任何内容所产生的任何直接或间接损失或与此有关的其他损失承担任何责任,订阅号所提及的任何证券均可能含有重大的风险,订阅人需自行承担依据订阅号发布的任何内容进行投资决策可能产生的一切风险。
本订阅号所载内容仅代表银河证券研究院在相关证券研究报告发布当日的判断,相关的分析结果及预测结论,会根据银河证券研究院后续发布的证券研究报告,在不发出预先通知的情况下做出更改,敬请订阅者密切关注后续研究报告的最新相关结论。
本订阅号所转发的研究报告,均只代表银河证券研究院的观点。本订阅号不保证银河证券其他业务部门或附属机构给出与本微信公众号所发布研报结论不同甚至相反的投资意见,敬请订阅者留意。
《证券期货投资者适当性管理办法》于2017年7月1日起正式实施,通过微信订阅号发布的本图文消息仅面向银河证券客户中的机构专业投资者,请勿对本图文消息进行任何形式的转发。若您并非银河证券客户中的机构专业投资者,为保证服务质量、控制投资风险,请取消关注,请勿订阅、接收或使用本订阅号中的任何信息。
本订阅号所载内容的版权归银河证券所有,银河证券对本订阅号保留一切法律权利。订阅人对本订阅号发布的所有内容(包括文字、影像等)的复制、转载,均需注明银河研究的出处,且不得对本订阅号所在内容进行任何有悖原意的引用、删节和修改。
投资有风险,入市请谨慎。
]article_adlist-->配资合作提示:文章来自网络,不代表本站观点。